의사결정트리(Decision Tree)란?
- 의사결정트리는 일련의 분류 규칙을 통해 데이터를 분류, 회귀하는 지도 학습 모델 중 하나이며,
- 결과 모델이 Tree 구조를 가지고 있기 때문에 Decision Tree라는 이름을 가집니다.
- 아래 그림을 보면 더 쉽게 이해가 가능합니다.

- 위 그림은 대표적인 의사결정트리의 예시로서, 타이타닉호의 탑승객의 생존여부를 나타내고 있습니다.
- 이렇게 특정 기준(질문)에 따라 데이터를 구분하는 모델을 의사 결정 트리 모델이라고 합니다.
- 한번의 분기 때마다 변수 영역을 두 개로 구분합니다.
- 결정 트리에서 질문이나 정답은 노드(Node)라고 불립니다.
- 맨 처음 분류 기준을 Root Node라고 하고
- 중간 분류 기준을 Intermediate Node
- 맨 마지막 노드를 Terminal Node 혹은 Leaf Node라고 합니다.
- 결정 트리의 기본 아이디어는, Leaf Node가 가장 섞이지 않은 상태로 완전히 분류되는 것, 즉 복잡성(entropy)이 낮도록 만드는 것입니다.
불순도 (Impurity)
- 위의 그림처럼 결정트리에서 분기기준을 선택하기 위해서는 불순도(impurity)라는 개념을 사용합니다.
- 복잡성을 의미하며, 해당 범주 안에 서로 다른 데이터가 얼마나 섞여 있는지를 뜻합니다.
- 다양한 개체들이 섞여 있을수록 불순도가 높아집니다.
- 분기기준 설정 시 현재노드의 불순도에 비해 자식노드의 불순도가 감소되도록 설정해야하며
- 현재 노드의 불순도와 자식노드의 불순도 차이를 Information Gain(정보 획득)이라고 합니다.
불순도 함수 (Gini, Entropy)
-
분기 이전의 불순도와 분기 이후의 불순도의 차이를 정보 획득이라고 합니다.
-
불순도가 1인 상태에서 0.7인 상태로 바뀌었다면 정보 획득(information gain)은 0.3입니다.
-
자세한 결정트리 구성 단계는 다음과 같습니다.
- Root 노드의 불순도 계산
- 나머지 속성에 대해 분할 후 자식노드의 불순도 계산
- 각 속성에 대한 Information Gain 계산 후 Information Gain(Root노드와 자식노드의 불순도 차이)이 최대가 되는 분기조건을 찾아 분기
- 모든 leaf 노드의 불순도가 0이 될때까지 2,3을 반복 수행한다.
-
예제) 테니스 경기 참가 여부

-
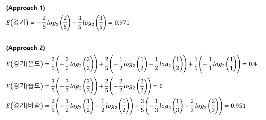
Approach 1) Root 노드의 불순도 계산

-
Approach 2) 나머지 속성에 대해 분할 후 자식노드의 불순도 계산
-
2-1) 날씨

-
2-2) 온도

-
2-3) 습도

-
2-4) 바람

-
Approach 3) 각 속성에 대한 Information Gain 계산 후 Information Gain(Root노드와 자식노드의 불순도 차이)이 최대가 되는 분기조건을 찾아 분기

-
Approach 4) 모든 leaf 노드의 불순도가 0이 될때까지 2,3을 반복 수행한다.
-
최종결과

일반화
- 위 구성방법을 사용하여 트리를 형성하게 되면, leaf 노드가 순도 100%의 한가지 범주만을 가지게 되는 Full tree(최대 트리)를 형성하게 된다.
- 하지만 이러한 최대 트리는 새로운 데이터에 적용할 때 과적합 문제(Overfitting)가 발생하여 일반화 성능이 떨어지게 된다.
- 따라서 형성된 결정트리에 대해 가지치기(Pruning)를 수행하여 일반화 성능을 높힌다.
가지치기 (pruning)

- 가지치기란 최대트리로 형성된 결정트리의 특정 노드 밑의 하부 트리를 제거하여 일반화 성능을 높히는 것을 의미한다. (오버피팅을 막기위해 사용된다.)
- 더 많은 가지가 생기지 않도록 최대 깊이, leaf 노드의 최대 개수, 한 노드가 분할하기 위한 최소 데이터 수 등의 제한이 가능하다.
가지치기의 비용함수
- 의사결정나무는 이 비용함수를 최소로 하는 분기를 찾아내도록 학습됩니다. 아래와 같이 정의됩니다.
- CC(T) = Err(T) + α × L(T)
- CC(T)
- 의사결정나무의 비용 복잡도
- 오류가 적으면서 terminal node 수가 적은 단순한 모델일 수록 작은 값
- ERR(T)
- L(T)
- Alpha
- ERR(T)와 L(T)를 결합하는 가중치
- 사용자에 의해 부여됨, 보통 0.01~0.1의 값을 씀
장점
- 데이터의 전처리 (정규화, 결측치, 이상치 등) 를 하지 않아도 된다.
- 수치형과 범주형 변수를 한꺼번에 다룰 수 있다.
한계
- 만약 샘플의 사이즈가 크면 효율성 및 가독성이 떨어진다.
- 과적합으로 알고리즘 성능이 떨어질 수 있다.
- 이를 극복하기 위해서 트리의 크기를 사전에 제한하는 튜닝이 필요하다.
- 한 번에 하나의 변수만을 고려하므로 변수간 상호작용을 파악하기가 어렵다.
- 결정트리는 Hill Climbing 방식 및 Greedy 방식을 사용하고 있다.
- 일반적인 Greedy 방식의 알고리즘이 그렇듯이 이 방식은 최적의 해를 보장하지는 못한다.
- 약간의 차이에 따라 (레코드의 개수의 약간의 차이) 트리의 모양이 많이 달라질 수 있다.
- 두 변수가 비슷한 수준의 정보력을 갖는다고 했을 때, 약간의 차이에 의해 다른 변수가 선택되면 이 후의 트리 구성이 크게 달라질 수 있다.
- 이같은 문제를 극복하기 위해 등장한 모델이 바로 랜덤포레스트이다.
- 같은 데이터에 대해 의사결정나무를 여러 개 만들어 그 결과를 종합해 예측 성능을 높이는 기법이다.
Source : https://wooono.tistory.com/104